מה חדש במודל תשפו
דרישות השלמת קורס
9. עורך טקסט
9.5. עורך המשוואות
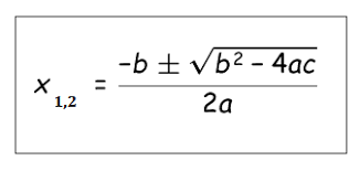
משוואות מתמטיות מוצגות לעיתים באופן גרפי מורכב.
לדוגמה כך נראית משוואה שורש ריבועי

לעומת זאת במחשב התווים נכתבים בשורה אחת. מעבר לבעיה הגראפית כיד להציג משוואות ונוסחאות, יש גם את העניין החישובי - המחשב צריך לקחת את התווים במשוואה וליצור בעזרתם חישוב.
הפתרון לכך היא שימוש בשפה שממירה תווים בשורה למשוואות ונסחאות. במודל משתמשים להמרה בשפת Tex.
דוגמה להמרה: רצף התווים
יציג את המשוואה \( \sqrt[a]{b+c} \)
על מנת להציג משוואות בעורך הטקסט יש להשתמש בעורך המשוואות
שנפתח על ידי האייקון

לעורך המשוואות ארבע לשוניות:
- אופרטורים - פעולות מתמטיות כמו כפל חילוק, גדול מ וכו.
- חיצים - משמשים בעיקר בנוסחאות כימיות ופיזיקליות
- אותיות יווניות - המשמשות במשוואות כמו אלפא, ביתא, פאי, אומגה
- מתקדם - נוסחאות שונות.
שימוש בעורך המשוואות
- יש ללחוץ על המשוואה\ הסימן הרצוי
הייצוג של המשוואה יופיע באזור עריכת המשוואה
הייצוג הגראפי של המשוואה יופיע בחלק התחתון
- בחלון העריכה ניתן להוסיף תווים כדי ליצור את המשוואה הרצויה.
- מומלץ להכנס לקישור שפת tex כדי להבין את הסימנים והסינטקס ליצירת משוואה.
- לסיום יש לשמור
- הערה: כל עוד הטקסט נמצא במצב עריכה יופיעו הסימנים בשפת ה-Tex. רק לאחר שעמוד הטקסט ישמר (יעבור למצב צפייה) תוצג המשוואה בצורה המוכרת.